UNITED STATES

SECURITIES AND EXCHANGE COMMISSION

Washington, D.C. 20549

 

SCHEDULE 14A INFORMATION

 

Proxy Statement Pursuant to Section 14(a) of the Securities Exchange Act of 1934

 

(Amendment No. )

 

Filed by the Registrant [X]

 

Filed by a Party other than the Registrant [  ]

 

Check the appropriate box:

 

[  ] Preliminary Proxy Statement
[  ] Confidential, for Use of the Commission Only (as permitted by Rule 14a-6(e)(2))
[  ] Definitive Proxy Statement
[X] Definitive Additional Materials
[  ] Soliciting Material under § 240.14a-12

 

POLAR POWER, INC.
(Name of Registrant as Specified In Its Charter)

 

 

(Name of Person(s) Filing Proxy Statement if other than the Registrant)

 

Payment of Filing Fee (Check the appropriate box):

 

[X] No fee required
[  ] Fee computed on table below per Exchange Act Rules 14a-6(i)(1) and 0-11.

 

  (1) Title of each class of securities to which transaction applies:
     
  (2) Aggregate number of securities to which transaction applies:
     
  (3) Per unit price or other underlying value of transaction computed pursuant to Exchange Act Rule 0-11 (set forth the amount on which the filing fee is calculated and state how it was determined):
     
  (4) Proposed maximum aggregate value of transaction:
     
  (5) Total fee paid:
     

 

[  ] Fee paid previously with preliminary materials.
   
[  ] Check box if any part of the fee is offset as provided by Exchange Act Rule 0-11(a)(2) and identify the filing for which the offsetting fee was paid previously. Identify the previous filing by registration statement number, or the Form or Schedule and the date of its filing.

 

  (1) Amount Previously Paid:
     
  (2) Form, Schedule or Registration Statement No.:
     
  (3) Filing Party:
     
  (4) Date Filed:
     

 

 

 

   
 

 

 

   
 

 

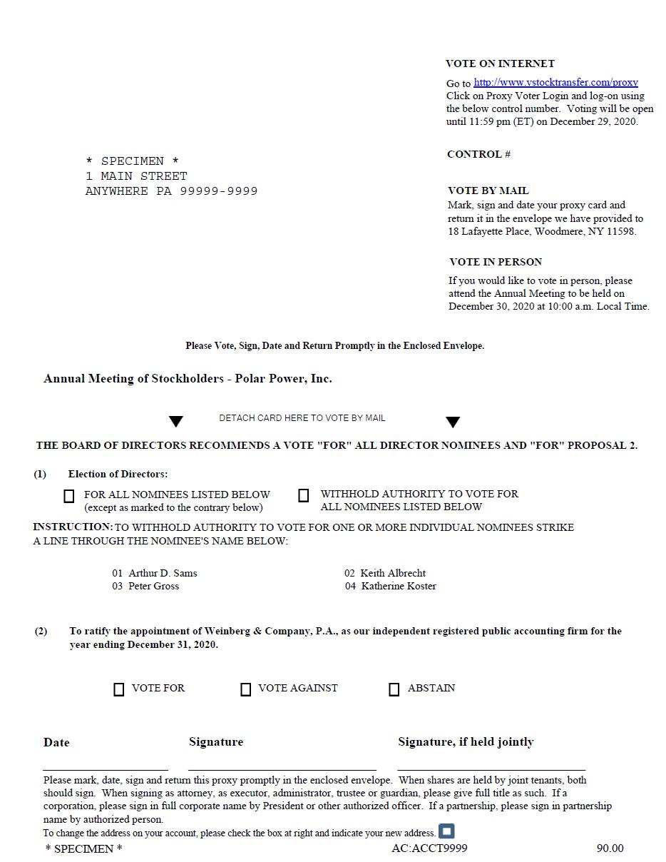
Annual Meeting of Stockholders

December 30, 2020

 

IMPORTANT NOTICE REGARDING THE AVAILABILITY OF PROXY MATERIALS FOR THE STOCKHOLDER MEETING TO BE HELD ON DECEMBER 30, 2020.

 

Our Proxy Statement and 2019 Annual Report of Stockholders are available at https://materials.proxyvote.com/73102V.

 

 

 

 

 

 

 

 

 

 

 

 

 

 

 

 

 

 

POLAR POWER, INC.

 

THIS PROXY IS SOLICITED ON BEHALF OF THE BOARD OF DIRECTORS

 

The undersigned stockholder of Polar Power, Inc. (the “Company”) hereby constitutes and appoints Arthur D. Sams and Keith Albrecht, and each of them, with the power to appoint their substitute(s), as attorney and proxy to appear, attend and vote all of the shares of common stock of the Company standing in the name of the undersigned on the record date at the 2020 annual meeting of stockholders of the Company to be held at 10:00 a.m., local time, on Wednesday, December 30, 2020 at the Company’s offices located at 249 E. Gardena Boulevard, Gardena, California 90248, and at any adjournment or adjournments thereof, upon the below proposals.

 

THIS PROXY, WHEN PROPERLY EXECUTED, WILL BE VOTED IN THE MANNER DIRECTED BY THE UNDERSIGNED STOCKHOLDER. IF NO DIRECTION IS MADE, THIS PROXY WILL BE VOTED “FOR” EACH OF THE NOMINEES LISTED ABOVE AND “FOR” ALL OTHER PROPOSALS INDICATED AND IN ACCORDANCE WITH THE DISCRETION OF THE PROXY HOLDER ON ANY OTHER BUSINESS. ALL OTHER PROXIES HERETOFORE GIVEN BY THE UNDERSIGNED IN CONNECTION WITH THE ACTIONS PROPOSED ON THIS PROXY CARD ARE HEREBY EXPRESSLY REVOKED. THIS PROXY MAY BE REVOKED AT ANY TIME BEFORE IT IS VOTED BY WRITTEN NOTICE TO THE SECRETARY OF THE COMPANY, BY ISSUANCE OF A SUBSEQUENT PROXY OR BY VOTING IN PERSON AT THE ANNUAL MEETING.

 

Please check here if you plan to attend the annual meeting of stockholders on December 30, 2020 at 10:00 a.m. Local Time. [  ]

 

(Continued and to be signed on Reverse Side)